视频流体力学
视频流体力学
2021 年 7 月 5 日
8:56



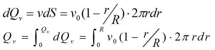
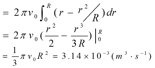
体积流量的计算?通过微积分,课堂例题
流体在半径为 R 的管内作稳定流动,截面上的流速按
分布,r 为截面上某点到轴线的距离。设 R=5cm, 求体积流量。

